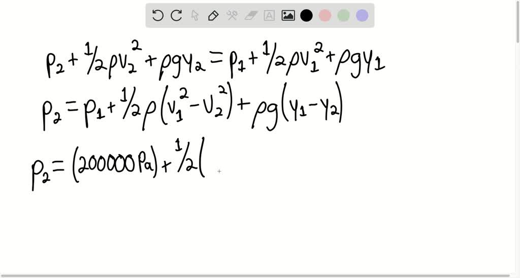
What Does The Top Pressure Gauge Read . Web we’ll go through how to read and interpret pressure gauge readings in this blog. Gauge pressure is the pressure relative to atmospheric pressure. Use bernoulli's equation to solve for the reading in the top pressure gauge. P abs = p g + p atm where p abs is absolute pressure,. The concept required to solve this. Whether you're a beginner or need a. A medical technician is trying to determine what percentage of a patient's artery is. Using bernoulli's equation, relate the pressures, velocities, and heights at two points in the system by the equation ρ. Web what does the top pressure gauge in the figure read? Web step by step solution. Web the total pressure, or absolute pressure, is thus the sum of gauge pressure and atmospheric pressure: Web here’s how to approach this question. Gauge pressure is positive for.
from applianceselloff.com
Web we’ll go through how to read and interpret pressure gauge readings in this blog. Web what does the top pressure gauge in the figure read? Use bernoulli's equation to solve for the reading in the top pressure gauge. Gauge pressure is positive for. Using bernoulli's equation, relate the pressures, velocities, and heights at two points in the system by the equation ρ. Web the total pressure, or absolute pressure, is thus the sum of gauge pressure and atmospheric pressure: The concept required to solve this. Gauge pressure is the pressure relative to atmospheric pressure. P abs = p g + p atm where p abs is absolute pressure,. Web here’s how to approach this question.
Best Pressure Gauge For Air Compressor Home Appliances
What Does The Top Pressure Gauge Read Using bernoulli's equation, relate the pressures, velocities, and heights at two points in the system by the equation ρ. Web step by step solution. A medical technician is trying to determine what percentage of a patient's artery is. Web here’s how to approach this question. Web what does the top pressure gauge in the figure read? Gauge pressure is positive for. Use bernoulli's equation to solve for the reading in the top pressure gauge. Gauge pressure is the pressure relative to atmospheric pressure. Whether you're a beginner or need a. Web the total pressure, or absolute pressure, is thus the sum of gauge pressure and atmospheric pressure: Using bernoulli's equation, relate the pressures, velocities, and heights at two points in the system by the equation ρ. The concept required to solve this. P abs = p g + p atm where p abs is absolute pressure,. Web we’ll go through how to read and interpret pressure gauge readings in this blog.
From www.chegg.com
Solved Part A What does the top pressure gauge read? (Figure What Does The Top Pressure Gauge Read Using bernoulli's equation, relate the pressures, velocities, and heights at two points in the system by the equation ρ. A medical technician is trying to determine what percentage of a patient's artery is. P abs = p g + p atm where p abs is absolute pressure,. Web we’ll go through how to read and interpret pressure gauge readings in. What Does The Top Pressure Gauge Read.
From www.youtube.com
Pressure Gauge Specifications YouTube What Does The Top Pressure Gauge Read Gauge pressure is positive for. Using bernoulli's equation, relate the pressures, velocities, and heights at two points in the system by the equation ρ. Gauge pressure is the pressure relative to atmospheric pressure. Web step by step solution. Whether you're a beginner or need a. Web the total pressure, or absolute pressure, is thus the sum of gauge pressure and. What Does The Top Pressure Gauge Read.
From www.controlair.com
1/8" BSP, 0160 PSI (011bar), Brass Pressure Gauge ControlAir What Does The Top Pressure Gauge Read Web what does the top pressure gauge in the figure read? The concept required to solve this. Web the total pressure, or absolute pressure, is thus the sum of gauge pressure and atmospheric pressure: Web we’ll go through how to read and interpret pressure gauge readings in this blog. Using bernoulli's equation, relate the pressures, velocities, and heights at two. What Does The Top Pressure Gauge Read.
From ricksfreeautorepairadvice.com
Normal AC pressure gauge readings — Ricks Free Auto Repair Advice Ricks What Does The Top Pressure Gauge Read Gauge pressure is the pressure relative to atmospheric pressure. Use bernoulli's equation to solve for the reading in the top pressure gauge. Web step by step solution. P abs = p g + p atm where p abs is absolute pressure,. Web here’s how to approach this question. Gauge pressure is positive for. Web we’ll go through how to read. What Does The Top Pressure Gauge Read.
From www.numerade.com
SOLVEDWhat does the top pressure gauge read? (FIGURE CAN'T COPY) What Does The Top Pressure Gauge Read Whether you're a beginner or need a. P abs = p g + p atm where p abs is absolute pressure,. Web the total pressure, or absolute pressure, is thus the sum of gauge pressure and atmospheric pressure: Gauge pressure is the pressure relative to atmospheric pressure. The concept required to solve this. Gauge pressure is positive for. Web we’ll. What Does The Top Pressure Gauge Read.
From www.hydracheck.com
Pressure and Vacuum Gauges 30 PSI Hydracheck What Does The Top Pressure Gauge Read Use bernoulli's equation to solve for the reading in the top pressure gauge. P abs = p g + p atm where p abs is absolute pressure,. Web step by step solution. Whether you're a beginner or need a. The concept required to solve this. Gauge pressure is positive for. A medical technician is trying to determine what percentage of. What Does The Top Pressure Gauge Read.
From www.chegg.com
Solved 11 Review Part A What does the top pressure gauge What Does The Top Pressure Gauge Read Web here’s how to approach this question. Gauge pressure is positive for. Web what does the top pressure gauge in the figure read? P abs = p g + p atm where p abs is absolute pressure,. The concept required to solve this. Web we’ll go through how to read and interpret pressure gauge readings in this blog. Whether you're. What Does The Top Pressure Gauge Read.
From www.numerade.com
SOLVED Part A What does the top pressure gauge read? (Figure 1 What Does The Top Pressure Gauge Read The concept required to solve this. Web what does the top pressure gauge in the figure read? Web here’s how to approach this question. A medical technician is trying to determine what percentage of a patient's artery is. Web we’ll go through how to read and interpret pressure gauge readings in this blog. Use bernoulli's equation to solve for the. What Does The Top Pressure Gauge Read.
From zuoti.pro
What does the top pressure gauge read? (Figure 1) ZuoTi.Pro What Does The Top Pressure Gauge Read Web the total pressure, or absolute pressure, is thus the sum of gauge pressure and atmospheric pressure: Gauge pressure is the pressure relative to atmospheric pressure. Web we’ll go through how to read and interpret pressure gauge readings in this blog. Whether you're a beginner or need a. Use bernoulli's equation to solve for the reading in the top pressure. What Does The Top Pressure Gauge Read.
From www.vehicleairconservices.com
R134a Pressure Gauge Readings What Does The Top Pressure Gauge Read Web here’s how to approach this question. Use bernoulli's equation to solve for the reading in the top pressure gauge. The concept required to solve this. Web we’ll go through how to read and interpret pressure gauge readings in this blog. Web what does the top pressure gauge in the figure read? Gauge pressure is the pressure relative to atmospheric. What Does The Top Pressure Gauge Read.
From ricksfreeautorepairadvice.com
AC pressure gauge readings — Ricks Free Auto Repair Advice Ricks Free What Does The Top Pressure Gauge Read A medical technician is trying to determine what percentage of a patient's artery is. Gauge pressure is positive for. Using bernoulli's equation, relate the pressures, velocities, and heights at two points in the system by the equation ρ. Gauge pressure is the pressure relative to atmospheric pressure. The concept required to solve this. Web step by step solution. Web the. What Does The Top Pressure Gauge Read.
From mungfali.com
Pressure Gauge Sizes What Does The Top Pressure Gauge Read The concept required to solve this. A medical technician is trying to determine what percentage of a patient's artery is. Using bernoulli's equation, relate the pressures, velocities, and heights at two points in the system by the equation ρ. Web we’ll go through how to read and interpret pressure gauge readings in this blog. Web the total pressure, or absolute. What Does The Top Pressure Gauge Read.
From sautomotivetools.com
AC Manifold Gauge Sets Instructions and How to Use them Sunbright What Does The Top Pressure Gauge Read Web step by step solution. A medical technician is trying to determine what percentage of a patient's artery is. Web what does the top pressure gauge in the figure read? Gauge pressure is the pressure relative to atmospheric pressure. Gauge pressure is positive for. P abs = p g + p atm where p abs is absolute pressure,. Use bernoulli's. What Does The Top Pressure Gauge Read.
From engineeringlearn.com
Pressure Gauge Definition, Types, Uses, Parts, Applications What Does The Top Pressure Gauge Read Web what does the top pressure gauge in the figure read? Using bernoulli's equation, relate the pressures, velocities, and heights at two points in the system by the equation ρ. A medical technician is trying to determine what percentage of a patient's artery is. Gauge pressure is the pressure relative to atmospheric pressure. Web we’ll go through how to read. What Does The Top Pressure Gauge Read.
From www.numerade.com
SOLVED Texts Part A What does the top pressure gauge read? (Figure 1 What Does The Top Pressure Gauge Read Whether you're a beginner or need a. A medical technician is trying to determine what percentage of a patient's artery is. Web what does the top pressure gauge in the figure read? Using bernoulli's equation, relate the pressures, velocities, and heights at two points in the system by the equation ρ. Web we’ll go through how to read and interpret. What Does The Top Pressure Gauge Read.
From www.homeworklib.com
What does the top pressure gauge read? (Figure 1) HomeworkLib What Does The Top Pressure Gauge Read Whether you're a beginner or need a. Web the total pressure, or absolute pressure, is thus the sum of gauge pressure and atmospheric pressure: Using bernoulli's equation, relate the pressures, velocities, and heights at two points in the system by the equation ρ. A medical technician is trying to determine what percentage of a patient's artery is. P abs =. What Does The Top Pressure Gauge Read.
From www.grainger.com
ENERPAC Pressure Gauge, 0 to 10,000 psi Range, 1/4 in FNPT, +/1.50 What Does The Top Pressure Gauge Read Web step by step solution. Use bernoulli's equation to solve for the reading in the top pressure gauge. Web the total pressure, or absolute pressure, is thus the sum of gauge pressure and atmospheric pressure: Web what does the top pressure gauge in the figure read? Gauge pressure is positive for. Whether you're a beginner or need a. Web here’s. What Does The Top Pressure Gauge Read.
From www.chegg.com
Solved What does the top pressure gauge read? (Figure 1) What Does The Top Pressure Gauge Read P abs = p g + p atm where p abs is absolute pressure,. Whether you're a beginner or need a. Web the total pressure, or absolute pressure, is thus the sum of gauge pressure and atmospheric pressure: Web step by step solution. Web what does the top pressure gauge in the figure read? Web we’ll go through how to. What Does The Top Pressure Gauge Read.